The Class is an important year in a student's life and this subject requires dedication, hard work, and practice. It's a subject where you can score well if you are well-versed with the concepts, remember the important formulas and solving methods, and have done an ample amount of practice. Worry not! Home Revise is here to make your journey even easier. It's essential for students to have the right study material and notes to prepare for their board examinations, and through Home Revise, you can cover all the fundamental topics in the subject and the complete syllabus.
The twelfth chapter in the Science NCERT Solutions for Class 10 revolves around Electricity. You will learn the concepts of Electric Currents and Circuits, and Electric Potential and Potential Difference. Ohm’s Law is an important topic. The chapter also talks about Electrical Resistance, the Heating Effect of Electrical Current and its practical applications, Joule’s Law, and the concept of Electric Power. You also get to learn how to draw Circuit Diagrams and calculate Electric Charge, Potential Difference, Current, Resistivity, Heat Produced, and Power.
The topics in Chapter 12 include:
Through our NCERT Class 10 Science study material and videos, you will easily master circuit diagrams and calculations in this chapter.
Chapter 12 - Electricity Exersice
Q.1 What does an electric circuit mean?
Ans: An electric circuit is a continuous conducting path that consists of electric devices, switching devices, source of electricity, etc. connected by conducting wires.
Q.2 Define the unit of current.
Ans: The unit of electric current is ampere (A).
unit of current is ampere. Ampere is defined by the flow of one coulomb of charge per second.
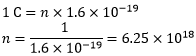
Q.3 Calculate the number of electrons constituting one coulomb of charge.
Ans:
The value of the charge of an electron is 1.6 × 10-19 C.
According to charge quantization,
Q = nqe, where n is the number of electrons and qe is the charge of an electron.
Substituting the values in the above equation, the number of electrons in a coulomb of charge can be calculated as follows:
Therefore, the number of electrons constituting one coulomb of charge is 6. 25 × 1018.
Q.4 Name a device that helps to maintain a potential difference across a conductor.
Ans: Battery consisting of one or more electric cells is one of the devices that help to maintain a potential difference across a conductor.
Q.5 What is meant by saying that the potential difference between two points is 1 V ?
Ans: If 1 J of work is done to move a charge of amount 1 C from one point to another, then it is said that the potential difference between the two points is 1 V.
Q.6 How much energy is given to each coulomb of charge passing through a 6 V battery ?
Ans: We know that the potential difference between two points is given by the equation,
V = W/Q, where,
W is the work done in moving the charge from one point to another
Q is the charge
From the above equation, we can find the energy given to each coulomb as follows:
W = V × Q
Substituting the values in the equation, we get
W = 6V × 1C = 6 J
Hence, 6 J of energy is given to each coulomb of charge passing through a 6 V of battery.
Q.7 On what factors does the resistance of a conductor depend?
Ans: The resistance of the conductor depends on the following factors:
a. Temperature of the conductor
b. Cross-sectional area of the conductor
c. Length of the conductor
d. Nature of the material of the conductor
Q.8 Will current flow more easily through a thick wire or a thin wire of the same material, when connected to the same source? Why?
Ans: Resistance is given by the equation,
R = ρ l/A
where,
ρ is the resistivity of the material of the wire,
l is the length of the wire
A is the area of the cross-section of the wire.
From the equation, it is evident that the area of the cross-section of wire is inversely proportional to the resistance. Therefore, thinner the wire, more the resistance and vice versa. Hence, current flows more easily through a thick wire than a thin wire.
Q.9 Let the resistance of an electrical component remains constant while the potential difference across the two ends of the component decreases to half of its former value. What change will occur in the current through it?
Ans: The change in the current flowing through the electrical component can be determined by Ohm’s Law.
According to Ohm’s Law, the current is given by
I = V/R
Now, the potential difference is reduced to half keeping the resistance constant,
Let the new voltage be V’ = V/2
Let the new resistance be R’ = R and the new amount of current be I’.
The change in the current can be determined using Ohm’s law as follows:
Therefore, the current flowing the electrical component is reduced by half.
Q.10 Why are coils of electric toasters and electric irons made of an alloy rather than a pure metal?
Ans: The melting point of an alloy is much higher than a pure metal because of its high resistivity. At high temperatures, alloys do not melt readily. Therefore, alloys are used in heating appliances such as electric toasters and electric irons.
Q.11 Electrical resistivity of some substances at 20°C:
| Material | Resistivity | |
| Conductors | Silver | 1.60 × 10–8 |
| Copper | 1.62 × 10–8 | |
| Aluminium | 2.63 × 10–8 | |
| Tungsten | 5.20 × 10–8 | |
| Nickel | 6.84 × 10–8 | |
| Iron | 10.0 × 10–8 | |
| Chromium | 12.9 × 10–8 | |
| Mercury | 94.0 × 10–8 | |
| Manganese | 1.84 × 10–6 | |
| Alloys | Constantan | 49 × 10–6 |
| Manganin | 44 × 10–6 | |
| Nichrome | 100 × 10–6 | |
| Insulators | Glass | 1010 – 1014 |
| Hard rubber | 1013 – 1016 | |
| Ebonite | 1015 – 1017 | |
| Diamond | 1012 – 1013 | |
| Paper (dry) | 1012 |
Use the data in Table to answer the following -
(a) Which among iron and mercury is a better conductor?
(b) Which material is the best conductor?
Ans:
(a) Resistivity of iron = 10.0 x 10-8 ohm m
Resistivity of mercury = 94.0 x 10-8 ohm m
Resistivity of mercury is more than that of iron. This implies that iron is a better conductor than mercury.
(b) It can be observed from the table that the resistivity of silver is the lowest among the listed materials. Hence, it is the best conductor.
Q.12 Draw a schematic diagram of a circuit consisting of a battery of three cells of 2 V each, a 5 ohm resistor, an 8 ohm resistor, and a 12 ohm resistor, and a plug key, all connected in series.
Ans: Three cells of potential 2 V each connected in series, is equivalent to a battery of potential 2 V + 2 V + 2 V = 6V. The following circuit diagram shows three resistors of resistances 5 ohm, 8 ohm and 12 ohm respectively connected in series with a battery of potential 6 V and a plug key.
Q.13 Redraw the circuit of Question 1, putting in an ammeter to measure the current through the resistors and a voltmeter to measure the potential difference across the 12 Ω resistor. What would be the readings in the ammeter and the voltmeter?
Ans: To measure the current flowing through the resistors, an ammeter should be connected in the circuit in series with the resistors. To measure the potential difference across the 12 Ω resistor, a voltmeter should be connected in parallel to this resistor, as shown in the following figure.
Using Ohm’s Law, we can obtain the reading of the ammeter and the voltmeter.
The total resistance of the circuit is 5 Ω + 8 Ω +12 Ω = 25 Ω.
We know that the potential difference of the circuit is 6 V, hence the current flowing through the circuit or the resistors can be calculated as follows:
I = V/R = 6/25 = 0.24A
Let the potential difference across the 12 Ω resistor be V1.
From the obtained current V1 can be calculated as follows:
V1 = 0.24A × 12 Ω = 2.88 V
Therefore, the ammeter reading will be 0.24 A and the voltmeter reading be 2.88 V.
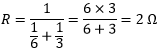
Q.14 Judge the equivalent resistance when the following are connected in parallel - (a) 1 Ω and 106 Ω, (b) 1 Ω and 103 Ω and 106 Ω.
Ans: (a) When 1 Ω and 106 are connected in parallel, the equivalent resistance is given by
Therefore, the equivalent resistance is 1 Ω.
(b) When 1 Ω, 103 Ω, and 106 Ω are connected in parallel, the equivalent resistance is given by
Therefore, the equivalent resistance is 0.999 Ω.
Q.15 An electric lamp of 100 Ω, a toaster of resistance 50 Ω, and a water filter of resistance 500 Ω are connected in parallel to a 220 V source. What is the resistance of an electric iron connected to the same source that takes as much current as all three appliances, and what is the current through it?
Ans: The electric lamp, the toaster and the water filter connected in parallel to a 220 V source can be shown as using a circuit diagram as follows:
The equivalent resistance of the resistors can be calculated as follows:
The resistance of the electric iron box is 31.25 Ω.
Q.16 What are the advantages of connecting electrical devices in parallel with the battery instead of connecting them in series?
Ans: The advantages of connecting electrical devices in parallel with the battery instead of connecting them in series are:
1. In parallel circuit, if one electrical device stops working, then all other devices keep working normally. This is not the case when devices are connected in series.
2. There is no division of voltage among the appliances when connected in parallel. The potential difference across each appliance is equal to the supplied voltage. In series circuit, the applied voltage is shared by all the appliances.
3. The total effective resistance of the circuit can be reduced by connecting electrical appliances in parallel. In series combination, the total effective resistance of the circuit increases.
Q.17 How can three resistors of resistances 2 Ω, 3 Ω, and 6 Ω be connected to give a total resistance of (a) 4 Ω, (b) 1 Ω?
Ans: a) The circuit diagram below shows the connection of three resistors
From the circuit above, it is understood that 3 Ω and 6 Ω are connected in parallel. Hence, their equivalent resistance is given by
The equivalent resistor 2 Ω is in series with the 2 Ω resistor. Now the equivalent resistance can be calculated as follows:
Req= 2 Ω +2 Ω = 4 Ω
Hence, the total resistance of the circuit is 4 Ω.
(b) The circuit diagram below, shows the connection of three resistors.
From the circuit, it is understood that all the resistors are connected in parallel. Therefore, their equivalent resistance can be calculated as follows:
The total resistance of the circuit is 1 Ω.
Q.18 What is (a) the highest, (b) the lowest total resistance that can be secured by combinations of four coils of resistance 4 Ω, 8 Ω, 12 Ω, 24 Ω?
Ans: (a) If the four resistors are connected in series, their total resistance will be the sum of their individual resistances and it will be the highest. The total equivalent resistance of the resistors connected in series will be 4 Ω + 8 Ω + 12 Ω + 24 Ω = 48 Ω.
(b) If the resistors are connected in parallel, then their equivalent resistances will be the lowest.
Their equivalent resistance connected in parallel is
Hence, the lowest total resistance is 2 Ω.
Q.19 Why does the cord of an electric heater not glow while the heating element does?
Ans: The heating element of an electric heater is made of an alloy which has a high resistance. When the current flows through the heating element, the heating element becomes too hot and glows red. The cord is usually made of copper or aluminum which has low resistance. Hence the cord doesn’t glow.
Q.20 Compute the heat generated while transferring 96000 coulomb of charge in one hour through a potential difference of 50 V.
Ans: The heat generated can be computed by Joule’s law as follows:
H = VIt
where,
V is the voltage, V = 50 V
I is the current
t is the time in seconds, 1 hour = 3600 seconds
The amount of current can be calculated as follows:
Q.21 An electric iron of resistance 20 ohm takes a current of 5 A. Calculate the heat developed in 30 s.
Ans: The amount of heat generated can be calculated using the Joule’s law of heating, which is given by the equation
H = VIt
Substituting the values in the above equation, we get,
H = 100 × 5 × 30 = 1.5 × 104 J
The amount of heat developed by the electric iron in 30 s is 1.5 × 104 J.
Q.22 What determines the rate at which energy is delivered by a current?
Ans: The rate of consumption of electric energy in an electric appliance is called electric power. Hence, the rate at which energy is delivered by a current is the power of the appliance.
Q.23 An electric motor takes 5 A from a 220 V line. Determine the power of the motor and the energy consumed in 2 h.
Ans: The power of the motor can be calculated by the equation,
P = VI
Substituting the values in the above equation, we get
P = 220 V × 5 A = 1100 W
The energy consumed by the motor can be calculated using the equation,
E = P × T
Substituting the values in the above equation, we get
P = 1100 W × 7200 = 7.92 × 106 J
The power of the motor is 1100 W and the energy consumed by the motor in 2 hours is 7.92 × 106 J.
Q.24 A piece of wire of resistance R is cut into five equal parts. These parts are then connected in parallel. If the equivalent resistance of this combination is R′, then the ratio R/R′ is _____.
(a) 1/25
(b) 1/5
(c) 5
(d) 25
Ans: d) 25
Explanation:
The resistance is cut into five equal parts, which means that the resistance of each part is R/5.
We know that each part is connected to each other in parallel, hence the equivalent resistance can be calculated as follows:
The ratio of R/R′ is 25.
Q.25 Which of the following does not represent electrical power in a circuit?
(a) I2R
(b) IR2
(c) VI
(d) V2/R
Ans: b) IR2
Electrical power is given by the expression P = VI. (1)
According to Ohm’s law,
V = IR
Substituting the value of V in (1), we get
P = (IR) × I
P = I2R
Similarly, from Ohm’s law,
I = V/R
Substituting the value of I in (1), we get
P = V × V/R = V2/R
From this, it is clear that the equation IR2 does not represent electrical power in a circuit.
Q.26 An electric bulb is rated 220 V and 100 W. When it is operated on 110 V, the power consumed will be _____.
(a) 100 W
(b) 75 W
(c) 50 W
(d) 25 W
Ans: 25 W
The energy consumed by the appliance is given by the expression
P = VI = V2/R
The resistance of the light bulb can be calculated as follows:
R = V2/P
Substituting the values, we get
R = (220)2/100 = 484 Ω
Even if the supply voltage is reduced, the resistance remains the same. Hence, the power consumed can be calculated as follows:
P = V2/R
Substituting the value, we get
P = (110)2 V/484 Ω = 25 W
Therefore, the power consumed when the electric bulb operates at 110 V is 25 W.
Q.27 Two conducting wires of the same material and of equal lengths and equal diameters are first connected in series and then parallel in a circuit across the same potential difference. The ratio of heat produced in series and parallel combinations would be _____.
(a) 1:2
(b) 2:1
(c) 1:4
(d) 4:1
Ans: Let Rs and Rp be the equivalent resistance of the wires when connected in series and parallel respectively.
For the same potential difference V, the ratio of the heat produced in the circuit is given by
Hence, the ratio of the heat produced is 1:4.
Q.28 How is a voltmeter connected in the circuit to measure the potential difference between two points?
Ans: To measure the voltage between any two points, the voltmeter should be connected in parallel between the two points.
Q.29 A copper wire has diameter 0.5 mm and resistivity of 1.6 × 10–8 Ω m. What will be the length of this wire to make its resistance 10 Ω? How much does the resistance change if the diameter is doubled?
Ans: The resistance of the copper wire of length in meters and area of cross-section m2 is given by the formula
The length of the wire is 122.72 m and the new resistance is 2.5 Ω.
Q.30 The values of current I flowing in a given resistor for the corresponding values of potential difference V across the resistor are given below –
| I (Ampere) | 0.5 | 1.0 | 2.0 | 3.0 | 4.0 |
| V (Volts) | 1.6 | 3.4 | 6.7 | 10.2 | 13.2 |
Plot a graph between V and I and calculate the resistance of that resistor.
The plot between voltage and current is known as IV characteristic. The current is plotted in the y-axis while the voltage is plotted in the x-axis. The different values of current for different values of voltage are given in the table. The I V characteristics for the given resistor is shown below.
The slope of the line gives the value of resistance.
The slope can be calculated as follows:
Slope = 1/R = BC/AC = 2/6.8
To calculate R,
R = 6.8/2 = 3.4 Ω
The resistance of the resistor is 3.4 Ω.
Q.31 When a 12 V battery is connected across an unknown resistor, there is a current of 2.5 mA in the circuit. Find the value of the resistance of the resistor.
Ans:
The value of the resistor can be calculated using Ohm’s Law as follows:
Q.32 A battery of 9 V is connected in series with resistors of 0.2 Ω, 0.3 Ω, 0.4 Ω, 0.5 Ω and 12 Ω, respectively. How much current would flow through the 12 Ω resistor?
Ans: In series connection, there is no division of current. The current flowing across all the resistors is the same.
To calculate the amount of current flowing across the resistors, we use Ohm’s law.
But first, let us find out the equivalent resistance as follows:
R = 0.2 Ω + 0.3 Ω + 0.4 Ω + 0.5 Ω + 12 Ω = 13.4 Ω
Now, using Ohm’s law,
The current flowing across the 12 Ω is 0.671 A
Q.33 How many 176 Ω resistors (in parallel) are required to carry 5 A on a 220 V line?
Q.34 Show how you would connect three resistors, each of resistance 6 Ω, so that the combination has a resistance of (i) 9 Ω, (ii) 4 Ω.
Ans:
Q.35 Several electric bulbs designed to be used on a 220 V electric supply line, are rated 10 W. How many lamps can be connected in parallel with each other across the two wires of 220 V line if the maximum allowable current is 5 A?
Ans:
Q.36 A hot plate of an electric oven connected to a 220 V line has two resistance coils A and B, each of 24 ohm resistance, which may be used separately, in series, or in parallel. What are the currents in the three cases?
Ans:
Q.37 Compare the power used in the 2 Ω resistor in each of the following circuits: (i) a 6 V battery in series with 1 Ω and 2 Ω resistors, and (ii) a 4 V battery in parallel with 12 Ω and 2 Ω resistors.
Ans:
