The Class is an important year in a student's life and this subject requires dedication, hard work, and practice. It's a subject where you can score well if you are well-versed with the concepts, remember the important formulas and solving methods, and have done an ample amount of practice. Worry not! Home Revise is here to make your journey even easier. It's essential for students to have the right study material and notes to prepare for their board examinations, and through Home Revise, you can cover all the fundamental topics in the subject and the complete syllabus.
The tenth chapter of NCERT Solutions for Class 10 Science is about the reflection and refraction of light. The chapter begins with teaching about Reflection of Light, Spherical Mirrors and its types (Concave and Convex) and uses, as well as Image Formation by Spherical Mirrors (represented through ray diagrams). The chapter also explains Refraction of Light through Rectangular Slabs, The Refractive Index, Refraction and Image Formation by Spherical Lenses (represented with ray diagrams for concave and convex lenses). You will learn calculations using Mirror Formula and Magnification for both Reflection and Refraction. Power of Lens is also touched upon.
The topics in Chapter 10 include:
Through Home Revise, you can get step-by-step explanations, diagrams, and visuals for all concepts and numerical calculations.
Chapter 10 - Light Reflection and Refraction
Q.1 Define the principal focus of a concave mirror.
Ans: Light rays that are parallel to the principal axis of a concave mirror converge at a specific point on its principal axis after reflecting from the mirror. This point is known as the principal focus of the concave mirror.
Q.2 The radius of curvature of a spherical mirror is 20 cm. What is its focal length?
Ans: Radius of curvature, R = 20cm
Radius of curvature of a spherical mirror = 2 × Focal length(f)
R = 2f
Hence, the focal length of the given spherical mirror is 10cm.
Q.3 Name a mirror that can give an erect and enlarged image of an object.
Ans: A concave mirror can give an erect and enlarged image of an object.
Q.4 Why do we prefer a convex mirror as a rear-view mirror in vehicles?
Ans:A convex mirror is preferred as a rear-view mirror in vehicles because it gives virtual, erect, and diminished image of the objects placed in front of it. Also, a convex mirror has a wider field of view, which allows the driver to see most of the traffic behind him.
Q.5 Find the focal length of a convex mirror whose radius of curvature is 32 cm.
Ans: Radius of curvature (R) = 32 cm
Radius of curvature = 2 × Focal length (f)
R= 2f
f = R/2 = 32/2 = 16
Therefore, the focal length of the given convex mirror is 16 cm.
Q.6 A concave mirror produces three times magnified (enlarged) real image of an object placed at 10 cm in front of it. Where is the image located?
Ans:
Magnification produced by a spherical mirror is given by the relation,
m= Height of the image
Height of the image
Image distance
Object distance
Let the Height of the object,h = h
Then ,height of the image ,h= -3h(image formed is real)
Object distance,u = -10cm
V= 3 × (-10) = -30cm
Here, the negative sign indicates that an inverted image is formed at a distance of 30cm in front of the given concave mirror.
Q.7 A ray of light travelling in air enters obliquely into water. Does the light ray bend towards the normal or away from the normal? Why?
Ans: The light ray bends towards the normal.When a ray of light travels from an optically rarer medium to an optically denser medium, it gets bent towards the normal. Since water is optically denser than air, a ray of light travelling from air into the water will bend towards the normal.
Q.8 Light enters from air to glass having refractive index 1.50. What is the speed of light in the glass? The speed of light in vacuum is 3 × 108 ms-1
Ans:
Refractive index of a medium nm is given by,
Speed of light in vacuum, c = 3 × 108 ms-1
Refractive index of glass, ng = 1.50
Speed of light in the glass,
Q.9 Find out, from Table, the medium having highest optical density. Also find the medium with lowest optical density.
| Material medium | Refractive index | Material medium | Refractive index |
|---|---|---|---|
| Air | 1.0003 | Canada Balsam | 1.53 |
| Ice | 1.31 | Rock salt | 1.54 |
| Water | 1.33 | Carbon disulphide | 1.63 |
| Alcohol | 1.36 | Dense flint glass | 1.65 |
| Kerosene | 1.44 | Ruby | 1.71 |
| Fused quartz | 1.46 | Sapphire | 1.77 |
| Turpentine oil | 1.47 | Diamond | 2.42 |
| Benzene | 1.50 | Crown glass | 1.52 |
Ans: Highest optical density = Diamond
Lowest optical density = Air
Optical density of a medium is directly related with the refractive index of that medium. A medium which has the highest refractive index will have the highest optical density and vice-versa.
It can be observed from the table that diamond and air respectively have the highest and lowest refractive indices. Therefore, diamond has the highest optical density and air has the lowest optical density.
Q.10 You are given kerosene, turpentine and water. In which of these does the light travel fastest? Use the information given in Table.
| Material medium | Refractive index | Material medium | Refractive index |
|---|---|---|---|
| Air | 1.0003 | Canada Balsam | 1.53 |
| Ice | 1.31 | Rock salt | 1.54 |
| Water | 1.33 | Carbon disulphide | 1.63 |
| Alcohol | 1.36 | Dense flint glass | 1.65 |
| Kerosene | 1.44 | Ruby | 1.71 |
| Fused quartz | 1.46 | Sapphire | 1.77 |
| Turpentine oil | 1.47 | Diamond | 2.42 |
| Benzene | 1.50 | Crown glass | 1.52 |
Ans: Speed of light in a medium is given by the relation for refractive index (nm). The relation is given as
It can be inferred from the relation that light will travel the slowest in the material which has the highest refractive index and will travel the fastest in the material which has the lowest refractive index.
It can be observed from the table that the refractive indices of kerosene, turpentine, and water are 1.44, 1.47, and 1.33 respectively. Therefore, light travels the fastest in water.
Q.11 The refractive index of diamond is 2.42. What is the meaning of this statement?
Ans: Refractive index of a medium nm is related to the speed of light in that medium v by the relation:
where, c is the speed of light in vacuum/air
The refractive index of diamond is 2.42. This suggests that a light ray travelling in air and entering diamond
gets slowed down and its speed becomes
times that in air.
Q.12 Define 1 dioptre of power of a lens.
Ans: 1 dioptre is defined as the power of a lens of focal length 1 metre.
Q.13 A convex lens forms a real and inverted image of a needle at a distance of 50 cm from it. Where is the needle placed in front of the convex lens if the image is equal to the size of the object? Also, find the power of the lens.
Ans: When an object is placed at the centre of curvature, 2F1, of a convex lens, its image is formed at the centre of curvature, 2F2, on the other side of the lens. The image formed is real, inverted and of the same size as the object, as shown in the given figure.
It is given that the image of the needle is formed at a distance of 50 cm from the convex lens.
Hence, the needle must be placed in front of the lens at a distance of 50 cm.
Object distance, u = -50 cm
Image distance, v = 50 cm
Focal length = f,
According to the lens formula,
Q.14 Find the power of a concave lens of focal length 2 m.
Ans: Focal length of concave lens, f = -2 m
Here, negative sign arises due to the divergent nature of concave lens.
Q.15 Which one of the following materials cannot be used to make a lens?
(a) Water
(b) Glass
(c) Plastic
(d) Clay
Ans: (d) Clay
Q.16 The image formed by a concave mirror is observed to be virtual, erect and larger than the object. Where should be the position of the object?
(a) Between the principal focus and the centre of curvature
b) At the centre of curvature
(c) Beyond the centre of curvature
(d) Between the pole of the mirror and its principal focus.
Ans: (d) Between the pole of the mirror and its principal focus.
Q.17 Where should an object be placed in front of a convex lens to get a real image of the size of the object?
(a) At the principal focus of the lens
(b) At twice the focal length
(c) At infinity
(d) Between the optical centre of the lens and its principal focus.
Ans: (b) At twice the focal length
Q.18 A spherical mirror and a thin spherical lens have each a focal length of -15 cm. The mirror and the lens are likely to be
(a) both concave
(b) both convex
(c) the mirror is concave and the lens is convex
(d) the mirror is convex, but the lens is concave
Ans: (a) both concave
Q.19 No matter how far you stand from a mirror, your image appears erect. The mirror is likely to be
(a) plane
(b) concave
(c) convex
Ans: (d) either plane or convex
Q.20 Which of the following lenses would you prefer to use while reading small letters found in a dictionary?
(a) A convex lens of focal length 50 cm.
(b) A concave lens of focal length 50 cm.
(c) A convex lens of focal length 5 cm.
(d) A concave lens of focal length 5 cm.
Ans: (c) A convex lens of focal length 5 cm.
Q.21 We wish to obtain an erect image of an object, using a concave mirror of focal length 15 cm. What should be the range of distance of the object from the mirror? What is the nature of the image? Is the image larger or smaller than the object? Draw a ray diagram to show the image formation in this case.
Ans: Range of object distance = 0 cm to 15 cm
A concave mirror gives an erect image when an object is placed between its pole (P) and the principal focus (F).
Hence, to obtain an erect image of an object from a concave mirror of focal length 15 cm, the object must be placed anywhere between the pole and the focus (i.e. within 15 cm from the mirror). The image formed will be virtual, erect, and magnified in nature, as shown in the given figure.
Q.22 Name the type of mirror used in the following situations.
(a) Headlights of a car
(b) Side/rear-view mirror of a vehicle
(c) Solar furnace
Support your answer with reason.
Ans: (a) Concave (b) Convex (c) Concave
Explanation:
(a) Concave mirror is used in the headlights of a car. This is because concave mirrors can produce powerful parallel beam of light when the light source is placed at their principal focus.
(b) Convex mirror is used in side/rear view mirror of a vehicle because convex mirrors give a virtual, erect, and diminished image of the objects placed in front of them and have a wide field of view. It enables the driver to see most of the traffic behind him/her
(c) Concave mirrors are convergent mirrors. That is why they are used to construct solar furnaces. Concave mirrors converge the light incident on them at a single point known as principal focus. Hence, they can be used to produce a large amount of heat at that point.
Q.23 One-half of a convex lens is covered with a black paper. Will this lens produce a complete image of the object? Verify your answer experimentally. Explain your observations.
Ans: The convex lens will form complete image of an object, even if its one-half is covered with black paper. It can be understood by the following two cases.
Case I:
When the upper half of the lens is covered:
In this case, the rays of light coming from the object will be refracted by the lower half of the lens. These rays meet at the other side of the lens to form the image of the given object, as shown in the following figure.
Case II:
When the lower half of the lens is covered:
In this case, a ray of light coming from the object is refracted by the upper half of the lens. These rays meet at the other side of the lens to form the image of the given object, as shown in the following figure.
Q.24 An object 5 cm in length is held 25 cm away from a converging lens of focal length 10 cm. Draw the ray diagram and find the position, size and the nature of the image formed.
Ans:
Object distance, u = -25 cm
Object height, ho = 5 cm
Focal length, f = +10 cm
According to the lens formula,
The positive value of v shows that the image is formed at the other side of the lens.
The negative sign shows that the image is real and formed behind the lens.
hi = m x ho = -0.66 x 5 = -3.3 cm
The negative value of image height indicates that the image formed is inverted.
The position, size, and nature of image are shown in the following ray diagram.
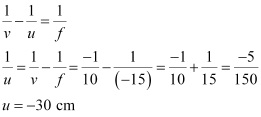
Q.25 A concave lens of focal length 15 cm forms an image 10 cm from the lens. How far is the object placed from the lens? Draw the ray diagram.
Ans: Focal length (OF1) of the concave lens is f = -15 cm
Image distance, v = -10 cm
According to the lens formula,
The negative value of u indicates that the object is placed 30 cm in front of the lens. This is shown in the following ray diagram.
Q.26 An object is placed at a distance of 10 cm from a convex mirror of focal length 15 cm. Find the position and nature of the image.
Ans:
Q.27 The magnification produced by a plane mirror is +1. What does this mean?
Ans: Magnification = height of the image/height of the object = distance of the image/distance of the object. The magnification produced by a plane mirror is +1 means then the size of the image is equal to the size of the object. If m has a magnitude greater than 1 the image is larger than the object, and an m with a magnitude less than 1 means the image is smaller than the object.
Q.28 An object 5.0 cm in length is placed at a distance of 20 cm in front of a convex mirror of radius of curvature 30 cm. Find the position of the image, its nature and size.
Ans:
Object distance (u) = – 20 cm
Object height (h) = 5 cm
Radius of curvature (R) = 30 cm
Radius of curvature = 2 × Focal length
R = 2f
f = 15 cm
According to the mirror formula,
The positive value of image height indicates that the image formed is erect.
Hence, the image formed is erect, virtual, and smaller in size.
Q.29 An object of size 7.0 cm is placed at 27 cm in front of a concave mirror of focal length 18 cm. At what distance from the mirror should a screen be placed, so that a sharp focussed image can be obtained? Find the size and the nature of the image.
Ans:
Object distance (u) = – 27 cm
Object height (h) = 7 cm
Focal length (f) = – 18 cm,
According to the mirror formula,
The negative value of image height indicates that the image formed is inverted.
Q.30 Find the focal length of a lens of power -2.0 D. What type of lens is this?
Ans:
Power of lens (P) = 1/f
P = -2D
f = -1/2 = -0.5 m
A concave lens has a negative focal length. Therefore, it is a concave lens.
Q.31 A doctor has prescribed a corrective lens of power +1.5 D. Find the focal length of the lens. Is the prescribed lens diverging or converging?
Ans:
Power of lens (P) = 1/f
P = 1.5D
f = 1/1.5 = 10/15 = 0.66 m
A convex lens has a positive focal length. Therefore, it is a convex lens or a converging lens.
