The Class is an important year in a student's life and this subject requires dedication, hard work, and practice. It's a subject where you can score well if you are well-versed with the concepts, remember the important formulas and solving methods, and have done an ample amount of practice. Worry not! Home Revise is here to make your journey even easier. It's essential for students to have the right study material and notes to prepare for their board examinations, and through Home Revise, you can cover all the fundamental topics in the subject and the complete syllabus.
Class 10 is an important year in a student’s life and Maths is one of the subjects that require dedication, hard work, and practice. It’s a subject where you can score well if you are well-versed with the concepts, remember the important formulas and solving methods, and have done an ample amount of practice. Worry not! Home Revise is here to make your Class 10 journey even easier. It’s essential for students to have the right study material and notes to prepare for their board examinations, and through Home Revise, you can cover all the fundamental topics in the subject and the complete NCERT Class 10 Maths Book syllabus.
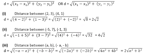
1. Find the distance between the following pairs of points:
(i) (2, 3), (4, 1)
(ii) (-5, 7), (-1, 3)
(iii) (a, b), (- a, – b)
Solution:
Distance formula to find the distance between two points (x1 , y1 ) and (x2 , y2 ) is, say d,
2. Find the distance between the points (0, 0) and (36, 15). Can you now find the distance between the two towns, A and B, discussed in Section 7.2?
Solution:
Let us consider town A at point (0, 0). Therefore, town B will be at point (36, 15).
Distance between points (0, 0) and (36, 15)
In section 7.2, A is (4, 0) and B is (6, 0)
AB2
= (6 – 4)2
– (0 – 0)2
= 4
The distance between towns A and B will be 39 km. The distance between the two towns, A and B, discussed in Section 7.2, is 4 km.
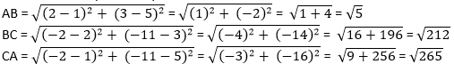
3. Determine if the points (1, 5), (2, 3) and (-2, -11) are collinear.
Solution: If the sum of the lengths of any two line segments is equal to the length of the third line segment, then all three points are collinear.
Consider, A = (1, 5) B = (2, 3) and C = (-2, -11)
Find the distance between points: say AB, BC and CA
Since AB + BC ≠ CA
Therefore, the points (1, 5), (2, 3), and (- 2, – 11) are not collinear.
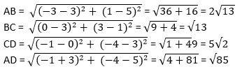
4. Check whether (5, – 2), (6, 4) and (7, – 2) are the vertices of an isosceles triangle.Solution:
Since two sides of any isosceles triangle are equal, to check whether given points are vertices of an isosceles triangle, we will find the distance between all the points.
Let the points (5, – 2), (6, 4), and (7, – 2) represent the vertices A, B and C, respectively.
This implies whether given points are vertices of an isosceles triangle.
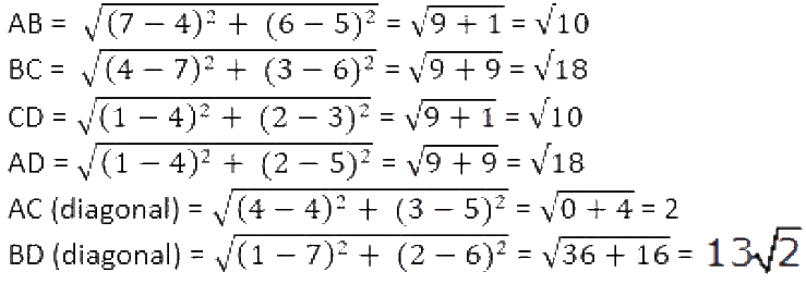
5. In a classroom, 4 friends are seated at points A, B, C and D, as shown in Fig. 7.8. Champa and Chameli walk into the class, and after observing for a few minutes, Champa asks Chameli, “Don’t you think ABCD is a square?” Chameli disagrees. Using the distance formula, find which of them is correct.
Solution:
From the figure, the coordinates of points A, B, C and D are (3, 4), (6, 7), (9, 4) and (6,1).
Find the distance between points using the distance formula, we get
All sides are of equal length. Therefore, ABCD is a square, and hence, Champa was correct.
6. Name the type of quadrilateral formed, if any, by the following points, and give reasons for your answer:
(i) (- 1, – 2), (1, 0), (- 1, 2), (- 3, 0)
(ii) (- 3, 5), (3, 1), (0, 3), (- 1, – 4)
(iii) (4, 5), (7, 6), (4, 3), (1, 2)
Solution:
(i) Let the points (- 1, – 2), (1, 0), ( – 1, 2), and ( – 3, 0) represent the vertices A, B, C, and D of the given quadrilateral, respectively.
Side length = AB = BC = CD = DA = 2√2
Diagonal Measure = AC = BD = 4
Therefore, the given points are the vertices of a square.
(ii) Let the points (- 3, 5), (3, 1), (0, 3), and (- 1, – 4) represent the vertices A, B, C, and D of the given quadrilateral, respectively.
It’s also seen that points A, B and C are collinear.
So, the given points can only form 3 sides, i.e. a triangle and not a quadrilateral which has 4 sides.
Therefore, the given points cannot form a general quadrilateral.
(iii) Let the points (4, 5), (7, 6), (4, 3), and (1, 2) represent the vertices A, B, C, and D of the given quadrilateral, respectively.
Opposite sides of this quadrilateral are of the same length. However, the diagonals are of different lengths. Therefore, the given points are the vertices of a parallelogram.
7. Find the point on the x-axis which is equidistant from (2, – 5) and (- 2, 9).
Solution:
To find a point on the x-axis.
Therefore, its y-coordinate will be 0. Let the point on the x-axis be (x,0).
Consider A = (x, 0); B = (2, – 5) and C = (- 2, 9).
Simplify the above equation,
Remove the square root by taking square on both sides, we get
(2 – x)2 + 25 = [-(2 + x)]2 + 81
(2 – x)2 + 25 = (2 + x)2 + 81
x2 + 4 – 4x + 25 = x2 + 4 + 4x + 81
8x = 25 – 81 = -56
x = -7
Therefore, the point is (- 7, 0).
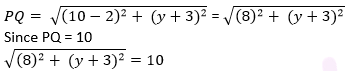
8. Find the values of y for which the distance between the points P (2, – 3) and Q (10, y) is 10 units.Solution:
Given: Distance between (2, – 3) and (10, y) is 10.
Using the distance formula,
Simplify the above equation and find the value of y.
Squaring both sides,
64 + (y + 3)2 = 100
(y + 3)2 = 36
y + 3 = ±6
y + 3 = +6 or y + 3 = −6
y = 6 – 3 = 3 or y = – 6 – 3 = -9
Therefore, y = 3 or -9.
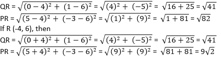
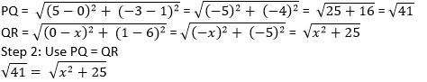
9. If Q (0, 1) is equidistant from P (5, – 3) and R (x, 6), find the values of x. Also, find the distance QR and PR.
Solution:
Given: Q (0, 1) is equidistant from P (5, – 3) and R (x, 6), which means PQ = QR
Step 1: Find the distance between PQ and QR using the distance formula,
Squaring both sides to omit square root
41 = x2 + 25
x2 = 16
x = ± 4
x = 4 or x = -4
Coordinates of Point R will be R (4, 6) or R (-4, 6),
If R (4, 6), then QR
10. Find a relation between x and y such that the point (x, y) is equidistant from the point (3, 6) and (- 3, 4).
Solution:
Point (x, y) is equidistant from (3, 6) and (- 3, 4).
Squaring both sides, (x – 3)2 +(y – 6)2 = (x + 3)2 +(y – 4)2
x2 + 9 – 6x + y2 + 36 – 12y = x2 + 9 + 6x + y2 +16 – 8y
36 – 16 = 6x + 6x + 12y – 8y
20 = 12x + 4y
3x + y = 5
3x + y – 5 = 0
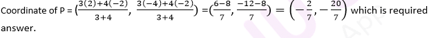
1. Find the coordinates of the point which divides the join of (- 1, 7) and (4, – 3) in the ratio 2:3.
Solution:
Let P(x, y) be the required point. Using the section formula, we get
x = (2×4 + 3×(-1))/(2 + 3) = (8 – 3)/5 = 1
y = (2×-3 + 3×7)/(2 + 3) = (-6 + 21)/5 = 3
Therefore, the point is (1, 3).
2. Find the coordinates of the points of trisection of the line segment joining (4, -1) and (-2, -3).
Solution:
Let P (x1 , y1 ) and Q (x2 , y2) be the points of trisection of the line segment joining the given points, i.e. AP = PQ = QB
Therefore, point P divides AB internally in the ratio 1:2.
x1 = (1×(-2) + 2×4)/3 = (-2 + 8)/3 = 6/3 = 2
y1 = (1×(-3) + 2×(-1))/(1 + 2) = (-3 – 2)/3 = -5/3
Therefore: P (x1 , y1 ) = P(2, -5/3)
Point Q divides AB internally in the ratio 2:1.
x2 = (2×(-2) + 1×4)/(2 + 1) = (-4 + 4)/3 = 0
y2 = (2×(-3) + 1×(-1))/(2 + 1) = (-6 – 1)/3 = -7/3
The coordinates of the point Q are (0, -7/3)
3. To conduct sports day activities in your rectangular-shaped school ground ABCD, lines have been drawn with chalk powder at a distance of 1 m each. 100 flower pots have been placed at a distance of 1 m from each other along AD, as shown in the following figure. Niharika runs 1/4th the distance AD on the 2nd line and posts a green flag. Preet runs 1/5th the distance AD on the eighth line and posts a red flag. What is the distance between both flags? If Rashmi has to post a blue flag exactly halfway between the line segment joining the two flags, where should she post her flag?
Solution:
From the given instruction, we observed that Niharika posted the green flag at 1/4th of the distance AD, i.e. (1/4 ×100) m = 25 m from the starting point of the 2nd line. Therefore, the coordinates of this point are (2, 25).
Similarly, Preet posted a red flag at 1/5 of the distance AD, i.e. (1/5 ×100) m = 20 m from the starting point of the 8th line. Therefore, the coordinates of this point are (8, 20).
Distance between these flags can be calculated by using the distance formula,
The point at which Rashmi should post her blue flag is the mid-point of the line joining these points. Let’s say this point is P(x, y).
x = (2 + 8)/2 = 10/2 = 5 and y = (20 + 25)/2 = 45/2
Hence, P( x , y ) = (5, 45/2)
Therefore, Rashmi should post her blue flag at 45/2 = 22.5m on the 5th line.
4. Find the ratio in which the line segment joining the points (-3, 10) and (6, – 8) is divided by (-1, 6).
Solution:
Consider the ratio in which the line segment joining (-3, 10) and (6, -8) is divided by point (-1, 6) be k :1.
Therefore, -1 = ( 6k -3)/(k +1)
–k – 1 = 6k -3
7k = 2
k = 2/7
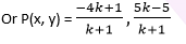
5. Find the ratio in which the line segment joining A (1, – 5) and B (- 4, 5) is divided by the x-axis. Also, find the coordinates of the point of division.
Solution:
Let the ratio in which the line segment joining A (1, – 5) and B (- 4, 5) is divided by the x-axis be k:1. Therefore, the coordinates of the point of division, say P(x, y) is ((-4k +1)/(k +1), (5k -5)/(k +1)).
We know that the y-coordinate of any point on the x-axis is 0.
Therefore, ( 5k – 5)/(k + 1) = 0
5k = 5
or k = 1
So, the x -axis divides the line segment in the ratio 1:1.
Now, find the coordinates of the point of division:
P (x, y) = ((-4(1)+1)/(1+1) , (5(1)-5)/(1+1)) = (-3/2 , 0)
6. If (1, 2), (4, y ), (x , 6) and (3, 5) are the vertices of a parallelogram taken in order, find x and y .
Solution:
Let A, B, C and D be the points of a parallelogram: A(1, 2), B(4, y ), C(x , 6) and D(3, 5).
Since the diagonals of a parallelogram bisect each other, the midpoint is the same.
To find the value of x and y, solve for the midpoint first.
Midpoint of AC = ( (1+x)/2 , (2+6)/2 ) = ((1+x)/2 , 4)
Midpoint of BD = ((4+3)/2 , (5+y)/2 ) = (7/2 , (5+y)/2)
The midpoint of AC and BD are the same, this implies
(1+x)/2 = 7/2 and 4 = (5+y)/2
x + 1 = 7 and 5 + y = 8
x = 6 and y = 3
7. Find the coordinates of point A, where AB is the diameter of a circle whose centre is (2, – 3) and B is (1, 4).
Solution:
Let the coordinates of point A be (x , y ).
Mid-point of AB is (2, – 3), which is the centre of the circle.
Coordinate of B = (1, 4)
(2, -3) =((x+1)/2 , (y+4)/2)
(x+1)/2 = 2 and (y+4)/2 = -3
x + 1 = 4 and y + 4 = -6
x = 3 and y = -10
The coordinates of A(3,-10).
8. If A and B are (-2, -2) and (2, -4), respectively, find the coordinates of P such that AP = 3/7 AB and P lies on the line segment AB.
Solution:
The coordinates of points A and B are (-2,-2) and (2,-4), respectively.
Since AP = 3/7 AB
Therefore, AP:PB = 3:4
Point P divides the line segment AB in the ratio 3:4.
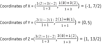
9. Find the coordinates of the points which divide the line segment joining A (- 2, 2) and B (2, 8) into four equal parts.
Solution:
Draw a figure, line dividing by 4 points.
From the figure, it can be observed that points X, Y, and Z are dividing the line segment in a ratio 1:3, 1:1, and 3:1, respectively.
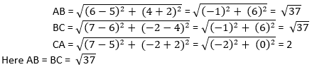
10. Find the area of a rhombus if its vertices are (3, 0), (4, 5), (-1, 4), and (-2,-1) taken in order.
[Hint: Area of a rhombus = 1/2 (product of its diagonals)
Solution:
Let A(3, 0), B (4, 5), C( – 1, 4) and D ( – 2, – 1) are the vertices of a rhombus ABCD.
1. Find the area of the triangle whose vertices are:
(i) (2, 3), (-1, 0), (2, -4)
(ii) (-5, -1), (3, -5), (5, 2)
Solution:
Area of a triangle formula = 1/2 × [x1 (y2 – y3 ) + x2 (y3 – y1 ) + x3 (y1 – y2 )]
(i) Here,
x1 = 2, x2 = -1, x3 = 2, y1 = 3, y2 = 0 and y3 = -4
Substitute all the values in the above formula, we get
Area of triangle = 1/2 [2 {0- (-4)} + (-1) {(-4) – (3)} + 2 (3 – 0)]
= 1/2 {8 + 7 + 6}
= 21/2
So, the area of the triangle is 21/2 square units.
(ii) Here,
x1 = -5, x2 = 3, x3 = 5, y1 = -1, y2 = -5 and y3 = 2
Area of the triangle = 1/2 [-5 { (-5)- (2)} + 3(2-(-1)) + 5{-1 – (-5)}]
= 1/2{35 + 9 + 20} = 32
Therefore, the area of the triangle is 32 square units.
2. In each of the following, find the value of ‘k’, for which the points are collinear.
(i) (7, -2), (5, 1), (3, -k)
(ii) (8, 1), (k, -4), (2, -5)
Solution:
(i) For collinear points, the area of triangle formed by them is always zero.
Let points (7, -2), (5, 1), and (3, k) are vertices of a triangle.
Area of triangle = 1/2 [7 { 1- k} + 5(k-(-2)) + 3{(-2) – 1}] = 0
7 – 7k + 5k +10 -9 = 0
-2k + 8 = 0
k = 4
(ii) For collinear points, the area of triangle formed by them is zero.
Therefore, for points (8, 1), (k, – 4), and (2, – 5), area = 0
1/2 [8 { -4- (-5)} + k{(-5)-(1)} + 2{1 -(-4)}] = 0
8 – 6k + 10 = 0
6k = 18
k = 3
3. Find the area of the triangle formed by joining the mid-points of the sides of the triangle whose vertices are (0, -1), (2, 1) and (0, 3). Find the ratio of this area to the area of the given triangle.
Solution:
Let the vertices of the triangle be A (0, -1), B (2, 1), and C (0, 3).
Let D, E, and F be the mid-points of the sides of this triangle.
Coordinates of D, E, and F are given by
D = (0+2/2, -1+1/2 ) = (1, 0)
E = ( 0+0/2, -1+3/2 ) = (0, 1)
F = ( 0+2/2, 3+1/2 ) = (1, 2)
Area of a triangle = 1/2 × [x1 (y2 – y3 ) + x2 (y3 – y1 ) + x3 (y1 – y2 )]
Area of ΔDEF = 1/2 {1(2-1) + 1(1-0) + 0(0-2)} = 1/2 (1+1) = 1
The area of ΔDEF is 1 square unit
Area of ΔABC = 1/2 [0(1-3) + 2{3-(-1)} + 0(-1-1)] = 1/2 {8} = 4
The area of ΔABC is 4 square units
Therefore, the required ratio is 1:4.
4. Find the area of the quadrilateral whose vertices, taken in order, are
(-4, -2), (-3, -5), (3, -2) and (2, 3).
Solution:
Let the vertices of the quadrilateral be A (- 4, – 2), B ( – 3, – 5), C (3, – 2), and D (2, 3).
Join AC and divide the quadrilateral into two triangles.
We have two triangles, ΔABC and ΔACD.
Area of a triangle = 1/2 × [x1 (y2 – y3 ) + x2 (y3 – y1 ) + x3 (y1 – y2 )]
Area of ΔABC = 1/2 [(-4) {(-5) – (-2)} + (-3) {(-2) – (-2)} + 3 {(-2) – (-5)}]
= 1/2 (12 + 0 + 9)
= 21/2 square units
Area of ΔACD = 1/2 [(-4) {(-2) – (3)} + 3{(3) – (-2)} + 2 {(-2) – (-2)}]
= 1/2 (20 + 15 + 0)
= 35/2 square units
Area of quadrilateral ABCD = Area of ΔABC + Area of ΔACD
= (21/2 + 35/2) square units = 28 square units
5. You have studied in Class IX that a median of a triangle divides it into two triangles of equal areas. Verify this result for ΔABC, whose vertices are A (4, – 6), B (3, – 2) and C (5, 2).
Solution:
Let the vertices of the triangle be A (4, -6), B (3, -2), and C (5, 2).
Let D be the mid-point of side BC of ΔABC. Therefore, AD is the median in ΔABC.
Coordinates of point D = Midpoint of BC = ((3+5)/2, (-2+2)/2) = (4, 0)
Formula, to find area of a triangle = 1/2 × [x1 (y2 – y3 ) + x2 (y3 – y1 ) + x3 (y1 – y2 )]
Now, area of ΔABD = 1/2 [(4) {(-2) – (0)} + 3{(0) – (-6)} + (4) {(-6) – (-2)}]
= 1/2 (-8 + 18 – 16)
= -3 square units
However, the area cannot be negative. Therefore, the area of ΔABD is 3 square units.
Area of ΔACD = 1/2 [(4) {0 – (2)} + 4{(2) – (-6)} + (5) {(-6) – (0)}]
= 1/2 (-8 + 32 – 30) = -3 square units
However, the area cannot be negative. Therefore, the area of ΔACD is 3 square units.
The area of both sides is the same. Thus, median AD has divided ΔABC into two triangles of equal areas.
1. Determine the ratio in which the line 2x + y – 4 = 0 divides the line segment joining the points A(2, –2) and B(3, 7).
Solution:
Consider line 2x + y – 4 = 0 divides line AB joined by the two points A(2, -2) and B(3, 7) in k:1 ratio.
Coordinates of point of division can be given as follows:
x = (2 + 3k)/(k + 1) and y = (-2 + 7k)/(k + 1)
Substituting the values of x and y given equation, i.e. 2x + y – 4 = 0, we have
2{(2 + 3k)/(k + 1)} + {(-2 + 7k)/(k + 1)} – 4 = 0
(4 + 6k)/(k + 1) + (-2 + 7k)/(k + 1) = 4
4 + 6k – 2 + 7k = 4(k+1)
-2 + 9k = 0
Or k = 2/9
Hence, the ratio is 2:9.
2. Find the relation between x and y if the points (x, y), (1, 2) and (7, 0) are collinear.
Solution:
If given points are collinear, then the area of the triangle formed by them must be zero.
Let (x, y), (1, 2) and (7, 0) are vertices of a triangle,
Area of a triangle = 1/2 × [x1 (y2 – y3 ) + x2 (y3 – y1 ) + x3 (y1 – y2 )] = 0
[x(2 – 0) + 1 (0 – y) + 7( y – 2)] = 02x – y + 7y – 14 = 0
2x + 6y – 14 = 0
x + 3y – 7 = 0.
Which is the required result.
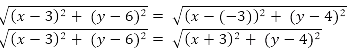
3. Find the centre of a circle passing through points (6, -6), (3, -7) and (3, 3).
Solution:
Let A = (6, -6), B = (3, -7), and C = (3, 3) are the points on a circle.
If O is the centre, then OA = OB = OC (radii are equal)
If O = (x, y), then
OA = √[(x – 6)2 + (y + 6)2 ]
OB = √[(x – 3)2 + (y + 7)2 ]
OC = √[(x – 3)2 + (y – 3)2 ]
Choose: OA = OB, we have
After simplifying above, we get -6x = 2y – 14 ….(1)
Similarly, OB = OC
(x – 3)2 + (y + 7)2 = (x – 3)2 + (y – 3)2
(y + 7)2 = (y – 3)2
y2 + 14y + 49 = y2 – 6y + 9
20y =-40
or y = -2
Substituting the value of y in equation (1), we get
-6x = 2y – 14
-6x = -4 – 14 = -18
x = 3
Hence, the centre of the circle is located at point (3,-2).
4. The two opposite vertices of a square are (-1, 2) and (3, 2). Find the coordinates of the other two vertices.
Solution:
Let ABCD is a square, where A(-1,2) and B(3,2). And Point O is the point of intersection of AC and BD.
To Find: Coordinate of points B and D.
Step 1: Find the distance between A and C and the coordinates of point O.
We know that the diagonals of a square are equal and bisect each other.
AC = √[(3 + 1)2 + (2 – 2)2 ] = 4
Coordinates of O can be calculated as follows:
x = (3 – 1)/2 = 1 and y = (2 + 2)/2 = 2
So, O(1,2)
Step 2: Find the side of the square using the Pythagoras theorem
Let a be the side of the square and AC = 4
From the right triangle, ACD,
a = 2√2
Hence, each side of the square = 2√2
Step 3: Find the coordinates of point D
Equate the length measure of AD and CD
Say, if the coordinates of D are (x1 , y1 )
AD = √[(x1 + 1)2 + (y1 – 2)2 ]
Squaring both sides,
AD2 = (x1 + 1)2 + (y1 – 2)2
Similarly, CD2 = (x1 – 3)2 + (y1 – 2)2
Since all sides of a square are equal, which means AD = CD
(x1 + 1)2 + (y1 – 2)2 = (x1 – 3)2 + (y1 – 2)2
x1 2 + 1 + 2x1 = x1 2 + 9 – 6x1
8x1 = 8
x1 = 1
The value of y1 can be calculated as follows by using the value of x.
From step 2: each side of the square = 2√2
CD2 = (x1 – 3)2 + (y1 – 2)2
8 = (1 – 3)2 + (y1 – 2)2
8 = 4 + (y1 – 2)2
y1 – 2 = 2
y1 = 4
Hence, D = (1, 4)
Step 4: Find the coordinates of point B
From line segment, BOD
Coordinates of B can be calculated using coordinates of O, as follows:
Earlier, we had calculated O = (1, 2)
Say B = (x2 , y2 )
For BD:
1 = (x2 + 1)/2
x2 = 1
And 2 = (y2 + 4)/2
=>y2 = 0
Therefore, the coordinates of required points are B = (1,0) and D = (1,4)
5. The class X students of a secondary school in Krishinagar have been allotted a rectangular plot of land for their gardening activity. Saplings of Gulmohar are planted on the boundary at a distance of 1 m from each other. There is a triangular lawn in the plot, as shown in fig. 7.14. The students are to sow the seeds of flowering plants on the remaining area of the plot.
(i) Taking A as the origin, find the coordinates of the vertices of the triangle.
(ii) What will be the coordinates of the vertices of triangle PQR if C is the origin?
Also, calculate the areas of the triangles in these cases. What do you observe?
Solution:
(i) Taking A as the origin, the coordinates of the vertices P, Q and R are,
From figure: P = (4, 6), Q = (3, 2), R (6, 5)
Here, AD is the x-axis and AB is the y-axis.
(ii) Taking C as the origin,
The coordinates of vertices P, Q and R are ( 12, 2), (13, 6) and (10, 3), respectively.
Here, CB is the x-axis and CD is the y-axis.
Find the area of triangles:
Area of triangle PQR in case of origin A:
Using formula: Area of a triangle = 1/2 × [x1 (y2 – y3 ) + x2 (y3 – y1 ) + x3 (y1 – y2 )]
= ½ [4(2 – 5) + 3 (5 – 6) + 6 (6 – 2)]
= ½ (- 12 – 3 + 24 )
= 9/2 sq unit
(ii) Area of triangle PQR in case of origin C:
Area of a triangle = 1/2 × [x1 (y2 – y3 ) + x2 (y3 – y1 ) + x3 (y1 – y2 )]
= ½ [ 12(6 – 3) + 13 ( 3 – 2) + 10( 2 – 6)]
= ½ ( 36 + 13 – 40)
= 9/2 sq unit
This implies, Area of triangle PQR at origin A = Area of triangle PQR at origin C
The area is the same in both cases because the triangle remains the same no matter which point is considered as the origin.
6. The vertices of a ∆ ABC are A (4, 6), B (1, 5) and C (7, 2). A line is drawn to intersect sides AB and AC at D and E, respectively, such that AD/AB = AE/AC = 1/4. Calculate the area of the ∆ ADE and compare it with the area of ∆ ABC. (Recall Theorem 6.2 and Theorem 6.6)
Solution:
Given: The vertices of a ∆ ABC are A (4, 6), B (1, 5) and C (7, 2)
AD/AB = AE/AC = 1/4
AD/(AD + BD) = AE/(AE + EC) = 1/4
Point D and Point E divide AB and AC, respectively, in ratio 1:3.
Coordinates of D can be calculated as follows:
x = (m1 x2 + m2 x1 )/(m1 + m2 ) and y = (m1 y 2 + m2 y 1 )/(m1 + m2 )
Here, m1 = 1 and m2 = 3
Consider line segment AB which is divided by point D at the ratio 1:3.
x = [3(4) + 1(1)]/4 = 13/4
y = [3(6) + 1(5)]/4 = 23/4
Similarly, the coordinates of E can be calculated as follows:
x = [1(7) + 3(4)]/4 = 19/4
y = [1(2) + 3(6)]/4 = 20/4 = 5
Find the area of triangle:
Using formula: Area of a triangle = 1/2 × [x1 (y2 – y3 ) + x2 (y3 – y1 ) + x3 (y1 – y2 )]
The area of triangle ∆ ABC can be calculated as follows:
= ½ [4(5 – 2) + 1( 2 – 6) + 7( 6 – 5)]
= ½ (12 – 4 + 7) = 15/2 sq unit
The area of ∆ ADE can be calculated as follows:
= ½ [4(23/4 – 5) + 13/4 (5 – 6) + 19/4 (6 – 23/4)]
= ½ (3 – 13/4 + 19/16)
= ½ ( 15/16 ) = 15/32 sq unit
Hence, the ratio of the area of triangle ADE to the area of triangle ABC = 1:16.
7. Let A (4, 2), B (6, 5), and C (1, 4) be the vertices of ∆ ABC.
(i) The median from A meets BC at D. Find the coordinates of point D.
(ii) Find the coordinates of the point P on AD such that AP:PD = 2:1.
(iii) Find the coordinates of points Q and R on medians BE and CF, respectively, such that BQ:QE = 2:1 and CR:RF = 2:1.
(iv) What do you observe?
[Note: The point which is common to all the three medians is called the centroid,
and this point divides each median in the ratio 2:1.]
(v) If A (x1 , y1 ), B (x2 , y2 ) and C (x3 , y3 ) are the vertices of triangle ABC, find the coordinates of the centroid of the triangle.
Solution:
(i) Coordinates of D can be calculated as follows:
Coordinates of D = ( (6+1)/2, (5+4)/2 ) = (7/2, 9/2)
So, D is (7/2, 9/2)
(ii) Coordinates of P can be calculated as follows:
Coordinates of P = ( [2(7/2) + 1(4)]/(2 + 1), [2(9/2) + 1(2)]/(2 + 1) ) = (11/3, 11/3)
So, P is (11/3, 11/3)
(iii) Coordinates of E can be calculated as follows:
Coordinates of E = ( (4+1)/2, (2+4)/2 ) = (5/2, 6/2) = (5/2 , 3)
So, E is (5/2, 3)
Points Q and P would be coincident because the medians of a triangle intersect each other at a common point called the centroid. Coordinate of Q can be given as follows:
Coordinates of Q =( [2(5/2) + 1(6)]/(2 + 1), [2(3) + 1(5)]/(2 + 1) ) = (11/3, 11/3)
F is the midpoint of the side AB
Coordinates of F = ( (4+6)/2, (2+5)/2 ) = (5, 7/2)
Point R divides the side CF in ratio 2:1
Coordinates of R = ( [2(5) + 1(1)]/(2 + 1), [2(7/2) + 1(4)]/(2 + 1) ) = (11/3, 11/3)
(iv) Coordinates of P, Q and R are the same, which shows that medians intersect each other at a common point, i.e. centroid of the triangle.
(v) If A (x1 , y1 ), B (x2 , y2 ) and C (x3 , y3 ) are the vertices of triangle ABC, the coordinates of the centroid can be given as follows:
x = (x1 + x2 + x3 )/3 and y = (y1 + y2 + y3 )/3
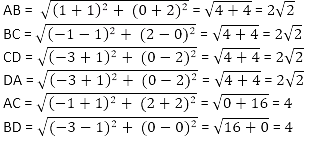
8. ABCD is a rectangle formed by the points A (-1, – 1), B (-1, 4), C (5, 4) and D (5, -1). P, Q, R and S are the midpoints of AB, BC, CD and DA, respectively. Is the quadrilateral PQRS a square, a rectangle or a rhombus? Justify your answer.
Solution:
P id the midpoint of side AB,
Coordinate of P = ( (-1 – 1)/2, (-1 + 4)/2 ) = (-1, 3/2)
Similarly, Q, R and S are (As Q is the midpoint of BC, R is the midpoint of CD and S is the midpoint of AD)
Coordinate of Q = (2, 4)
Coordinate of R = (5, 3/2)
Coordinate of S = (2, -1)
Now,
Length of PQ = √[(-1 – 2)2 + (3/2 – 4)2 ] = √(61/4) = √61/2
Length of SP = √[(2 + 1)2 + (-1 – 3/2)2 ] = √(61/4) = √61/2
Length of QR = √[(2 – 5)2 + (4 – 3/2)2 ] = √(61/4) = √61/2
Length of RS = √[(5 – 2)2 + (3/2 + 1)2 ] = √(61/4) = √61/2
Length of PR (diagonal) = √[(-1 – 5)2 + (3/2 – 3/2)2 ] = 6
Length of QS (diagonal) = √[(2 – 2)2 + (4 + 1)2 ] = 5
The above values show that PQ = SP = QR = RS = √61/2, i.e. all sides are equal.
But PR ≠ QS, i.e. diagonals are not of equal measure.
Hence, the given figure is a rhombus.
